A1>
저는 CAS(Computer Algebra Systems)를 사용해본 경험이 있습니다.
대학에서 수학과 전공을 하면서, 대수, 미적분, 미분 방정식 등 수학 문제를 해결할 때 CAS를 사용해보았습니다.
CAS는 수학 연산을 쉽게 접근하고, 연산 시간을 줄여줌으로써 유사한 문제를 반복적으로 학습할 수 있도록 도와준다는 장점이 있습니다.
또한, 미분이나 적분과 같은 수학 연산을 자동화하여, 복잡한 수식이나 방정식을 해결할 때 매우 유용합니다.
하지만, CAS에 지나치게 의존하면 수학적 개념을 놓칠 수 있다는 우려도 있습니다.
CAS를 사용하면서, 수학적 개념이나 논리 체계를 이해하지 않고 단순히 문제를 푸는 데만 집중하게 될 수 있습니다.
이는 수학 학습의 본질을 놓치고, CAS를 사용하지 않을 때 문제 해결 능력이 크게 저하될 수 있다는 우려가 있습니다.
그러나, CAS를 사용하는 것 자체가 수학 학습을 방해하는 것은 아니라고 생각합니다.
CAS를 사용하면서도 수학적 개념을 이해하고, 논리 체계를 파악하는 노력을 기울이는 것이 중요합니다.
CAS에 지나치게 의존하면 수학적 개념을 이해하는 데에 지장을 줄 수 있습니다.
수학은 추상적이고, 개념적인 측면이 강조되는 학문입니다. CAS를 사용하여 문제를 풀어나가면서 개념을 이해하지 않고 계산만 하는 경우, 수학의 본질을 이해하는 데 어려움이 있을 수 있습니다.
또한, CAS를 사용하면서도 문제의 해결 과정을 체계적으로 기록하고, 해결 방법을 분석하는 것이 중요합니다.
따라서, 저는 CAS를 사용하는 것에 대해 찬성하는 입장입니다.
CAS를 사용하면 수학 문제를 빠르고 정확하게 해결할 수 있으며, 이를 통해 수학 학습에 대한 흥미를 유발할 수 있다고 생각합니다.
그러나, CAS를 사용하면서도 수학적 개념과 논리 체계를 이해하고, 문제 해결 과정을 체계적으로 기록하고 분석하는 노력을 기울이는 것이 중요하다고 생각합니다.
A2>
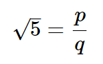
제곱근이 무리수가 아니라고 가정하면, 다음과 같이 표현할 수 있습니다.

여기서
p와 q는 서로소인 정수이며

입니다.
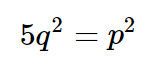
두 변을 제곱하면,

따라서,

은 5의 배수 입니다.
p 는 정수이므로,

도 정수입니다.
하지만 5로 나누어떨어지지 않는 정수의 제곱근은 5의 배수가 될 수 없습니다.
따라서 가정이 모순이므로.

무리수 입니다.
A3>
이 명제는 거짓이다.
즉,

이면,
수열

의 무한 급수가 수렴한다. 라는 명제는 항상 참이 되는 것이 아니다.
예를 들어, 다음과 같은 수열과 무한급수를 생각해보자.

그러면,

이다.
하지만 이 수열의 무한급수는 다음과 같이 발산한다.

따라서, 이 명제는 거짓이며, 반례가 존재함을 보였다.
A4>
함수의 극한값을 구하기 위해서는 분모와 분자를 모두 0으로 만들어야 합니다.
분모에 대해서는 다음과 같이 변형할 수 있습니다.

분자에 대해서는 다음과 같이 변형할 수 있습니다.

따라서, 전체 함수의 분자와 분모가 모두 0이 되므로 로피탈의 정리를 적용할 수 있습니다.

따라서, 결과는

A5>
주어진 함수

는 0 으로 극한을 구할 때,

의 형태를 가지므로, 미분적인 아이디어를 활용하여 극한값을 구할 수 있다.
따라서 함수

의 도함수를 구하면,

이므로,

이다.
그래프를 통해서도 유추할 수 있다. x가 0으로 점점 가까워질수록,

는 0에 점점 가까워지고, x와의 비율인

는 1에 점점 가까워지는 것을 확인할 수 있다.
아래는

의 그래프이다.

'ETC > DailyRoutine' 카테고리의 다른 글
| [방송통신대학교]운영체제 - 중간과제물 공통형 (0) | 2023.04.29 | 
|---|---|
| [방송통신대학교]컴퓨터의 이해 - 기말시험 온라인 평가 - 추가 (0) | 2023.02.13 | 
| [방송통신대학교]프로그래밍언어론 2학기 중간과제물 - 추가 (0) | 2023.02.11 | 
| [방송통신대학교]선형대수 2학기 기말평가 온라인과제물 (0) | 2023.01.23 | 
| [방송통신대학교]선형대수 2학기 중간평가 출석수업과제물 (0) | 2022.12.25 | 
 
									
								 
									
								 
									
								