반응형
16. ④

17. ②

18. ④ 수직 성립

19. ③

20. ①

21. ③

22. ②

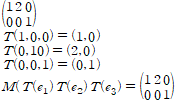
23. ① M의 고유값은 1과 3이다

24. ④ 직교화 과정정규화 과정이란 주어진 벡터 A를 A의 길이로 나누어 방향은 변함이 없고 길이만 1이 되도록하는 과정
25. ②

2.
A 와 B 가 직교행렬이면, 다음도 직교행렬이다.
A-1=AT 직교행렬이 행렬식의 값은 +1 또는 -1 이다.
고유값은 실수로는 공액복소수이며 절대값은 1이다.
반응형
'ETC > DailyRoutine' 카테고리의 다른 글
| [방송통신대학교]대학수학의 이해 2학기 중간과제물 - 추가 (0) | 2023.02.12 |
|---|---|
| [방송통신대학교]프로그래밍언어론 2학기 중간과제물 - 추가 (0) | 2023.02.11 |
| [방송통신대학교]선형대수 2학기 중간평가 출석수업과제물 (0) | 2022.12.25 |
| [방송통신대학교]프로그래밍언어론 2학기 중간과제물 (0) | 2022.11.07 |
| [동탄행정복지]해피 메리 성탄절 사업 (0) | 2022.11.06 |